Ochratoxin A

ochratoxin toxin

Advertisment

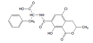
The family of ochratoxins consists of three members, A, B, and C which differ slightly from each other in chemical structures. These differences, however, have marked effects on their respective toxic potentials. Ochratoxin A is the most abundant and hence the most commonly detected member but is also the most toxic of the three. Ochratoxin A (OTA) is produced by a number of fungal species that can colonize a range of food products. They include Penicillium verrucosum, Aspergillus ochraceus and  A. carbonarius fungi that predominantly infect cereal grains, coffee and cocoa. P. verrrucosum is more important in cool, damp climates of northern Europe, while A. ochraceus is found in regions with warmer climates. Ochratoxins are secondary metabolites produced by various Aspergillus and Penicillium species and chemically they belong to a group of isocoumarin derivatives, of which Ochratoxin A (C20H18O6NCl) is the most abundantly produced and the most toxic compound.
 
The classic human dietary sources of Ochratoxin A have been cereals, legumes, coffee-beans, cocoa-beans, grapes, dried vine fruits, nuts and spices, but they may also include meat products, as a result of contaminated animal feed. It also has been considered to be one of the main mycotoxins hazards to human health, as a factor in the human kidney disease known as Balkan Endemic Nephropathy, and in the development of urinary tract tumors.

Although exposure to the toxin is usually due to ingestion of contaminated food and feed, airborne poisoning may also occur in rare cases. Dietary intake represents the main source of ochratoxin A in human.

Chemical properties and toxicology

Ochratoxin A (OTA) is a pentaketide mycotoxin? produced by several Aspergillus and Penicillium species in different plant products such as cereals, coffee beans, cocoa beans, nuts, beer, wine, spices, vine fruits (raisins, currants and sultanas). Ochratoxin A has been shown to be a carcinogen?, and possess nephrotoxic?, immunotoxic?, teratogenic? and genotoxic? properties. It also has been implicated as the agent responsible for Balkan Endemic Nephropathy, a fatal kidney disease primarily affecting rural populations in the central Balkan peninsula.ochratoxin mycotoxin

Ochratoxin A is a naturally occurring fungal toxin that occurs as a colourless crystal at room temperature under normal light, but exhibits green and blue fluorescence in ultraviolet light. The free acid is insoluble in water but is moderately soluble in organic solvents such as chloroform, ethanol, methanol, and xylene. It is unstable in light, especially in very humid conditions; however, it is stable in the dark in ethanol solutions. Ochratoxin A is also fairly stable to heat; in cereal products, up to 35% of the toxin survives autoclaving for up to 3 hours.

Human exposure

Ochratoxin A is absorbed from the gastrointestinal tract. In most species, ochratoxin A is absorbed from the stomach as a result of its acidic properties. Absorption also takes place in the small intestine.  The absorbed ochratoxin A is distributed via blood, mainly to the kidneys, and at lower concentrations to the liver, muscle and fat.

The International Agency for Research on Cancer (IARC) has given Ochratoxin A (OTA)  a Group 2B classification - a possible human carcinogen. As a consequence of the possible health hazards related to ingestion of Ochratoxin A, the Commission of the European Communities (EC) has set maximum levels for Ochratoxin A in some foods including roasted coffee (5 mg/kg), instant coffee (10 mg/kg), raw cereal grains (5 mg/ kg), processed cereal products (3 mg/kg), baby foods and processed cereal based products for infants and young children (0.5 mg/kg), grape-based wines (2.0 mg/kg), grape juices (2.0 mg/kg) and dried vine fruits (10 mg/kg) (European Commission, 2005).

Ochratoxin A  is the mycotoxin most frequently found in the blood of people exposed to mycotoxins in their food. Following its absortion, this mycotoxin binds to the human serum albumin.  Its presence has been recorded in breast milk and in both mothers’ milk and infants’ sera.

In ambient air, ochratoxin A exists completely in the particulate phase. It is immobile in soil. Ochratoxin A has been measured in airborne particulates in mainly occupational settings where contaminated items were stored or processed. Typical places where people get exposed to ochratoxin A are storage and processing plants for black pepper, cocoa, coffee, and nutmeg.